• <li id="c0ccc"></li>
    <tt id="c0ccc"></tt>
    <li id="c0ccc"><table id="c0ccc"></table></li>
  • <li id="c0ccc"></li>
  • <li id="c0ccc"></li>
  • <li id="c0ccc"></li><li id="c0ccc"></li>
    <li id="c0ccc"><table id="c0ccc"></table></li>
    全國免費咨詢電話:400-811-7869
    您當前所在位置是:回轉窯網>>新聞資訊>>文章內容
    球磨機電能損失以及有用功率的確定

            在球磨機進行磨礦的過程中,總會出現電能的損失,那么其損耗到底在什么地方呢?
            (1)摩擦損耗。在球磨機運轉的時候,各個零部件會發生摩擦,克服摩擦所消耗的功率與設備構造、潤滑、轉速等都有很大關聯,這部分損耗約占10%;
            (2)球磨機電動機自身的損耗,這與其質量等自身的原因有關,約占10%;
            (3)其他的就是球磨機的有用功率。約占75~80%,是使球磨機的研磨體發生研磨作用而消耗的功率,與研磨體的質量和球磨機的轉速有關,在作業過程中,這部分能量大部分又以熱能形式散失。那么怎么確定球磨機的有用功率呢?這里豫暉家給大家介紹一種常用的公式方法:列文遜經驗公式。
            列文遜從基本理論出發,推出球磨機消耗的功率N的經驗公式為
    圖1
      球磨機消耗的功率公式  
            式中Q--球的裝入量;
            D--球磨機內徑。
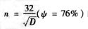
    球磨機電能損失以及有用功率的確定       

            上式是根據球磨機轉速   (上圖2)    時得出的,其中包括提升球的功能及摩擦損失。
            文章由豫暉球磨機整理提供:http://www.t3130.com/

    相關文章:

    創建時間 2013-09-24 來源 回轉窯網 瀏覽
    主營產品節能球磨機
    環保石灰窯 破碎機
    回轉窯設備 選礦設備
    網站首頁 公司簡介 產品中心 新聞資訊 技術資料 行業知識 服務中心 聯系我們 html-xml
    推薦新品:專業回轉窯生產廠家 Copyright © 河南豫暉礦山機械有限公司 版權所有 河南省鄭州市化工西路
    全國免費咨詢電話:400-811-7869 電話:0371-55018888 手機:13803857310(白經理) 豫ICP備10209222號-2 亚洲中文字幕男人的天堂喷水