具體的回轉窯軸向傳熱模型的建立,是在假設其運轉過程為穩態,而對各個橫截面間的軸向傳熱進行忽略,窯壁、煙氣、溫度及黑度各處均勻分布,各處均勻出現球團黑度的基礎上建立的。
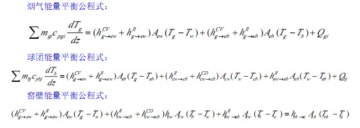
沿著回轉窯軸向上是大致可以分為n個區域,并且圍繞以下幾個方面進行假設操作:回轉窯處于穩態運轉、各個橫截面內球團、窯壁和煙氣溫度均勻、忽略各區域間的軸向傳熱。應用能量守恒原理,我們可以獲得以下公式:

在上述公式中,我們可以獲得回轉窯煅燒過程中的流傳熱系數、輻射傳熱以及導熱系數,還包括單位窯長內的有效傳熱面積等,由此我們對于回轉窯所進行的各個參數的計量就顯得異常的簡單。
信息由豫暉重工整理:http://www.t3130.com
相關文章推薦:回轉窯對物料的傳輸及其一維軸向傳熱