由于在動靜壓的軸承運轉過程中,并不存在球磨機動壓軸啟動階段所出現的干摩擦現象,這正是由于其應用了靜壓先浮起主軸操作,此過程可以很大程度降低啟動過程中摩擦對于球磨機內軸承所造成的磨損,因此我們常見的表面粗糙度對磨機的影響常見于軸承的運轉階段。
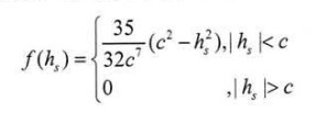
在實際的球磨機運轉工況過程中我們可知,滑動軸承粗糙表面的概率分布于高斯分布情況是比較相近的,在進行計量時,我們一般選用的是以多項式分布來替代高斯分布。具體如下:

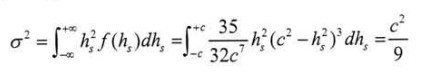
其中c則是代表球磨機內粗糙油膜厚度的變化值的一半,而無量綱的值則是c/h0,式中的hs則是球磨機運轉時因為粗糙表面的原因而形成的油膜厚度,經過詳細的計量其粗糙厚度的方差為:

隨著科學計量的快速發展,MATLAB軟件內增設了高斯分布函數,而此時在球磨機內應用高斯分布函數,對于軸承表面粗糙的進行模擬,我們可以充分了解球磨機運轉時的粗糙表面分布情況。
(文章源于河南豫暉球磨機、回轉窯指定網站:http://www.t3130.com/,轉載注明出處)
推薦您繼續閱讀球磨機函數計量的相關文章:電子化的今天球磨機內軸承間隙的函數計量