在球磨機的磨礦中我們會提到形狀誤差,它主要指單一實際元素的形狀允許范圍內發生的變化,其中包括直線的、平面的甚至有圓柱、線和面輪廓等,而在實際研究過程中,我們主要研究球磨機軸的圓柱度,在軸的外圓柱面的形狀誤差條件下作用于油膜厚度以及油膜特性的影響。
針對以上操作,我們需要考慮圓度以及圓柱度,此時的球磨機軸承內表面的輪廓會變得比較復雜,同時會伴有較大的隨機性,對于研究操作來說是比較困難的。因此我們需要考慮對球磨機生產中所產生的特殊形狀變化進行研究,為了方便研究我們會選擇球磨機的橢圓截面軸承作為研究對象,如圖:

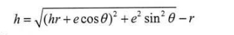
在進行計量操作時,我們可以先推導出球磨機軸承間隙的計量公式
即:

其中式中的r表示軸頸直徑,hr則顯示為橢圓型內表面徑向尺寸,h則顯示為球磨機內的油膜厚度,綜合以上條件我們又可以推導出:

在省略去高階小量情況下我們可以獲得:
h=hr+ecosθ-r
然后由它通過雷諾方程來獲得球磨機軸承處的油膜特性。
以上則是豫暉針對球磨機生產中形狀誤差所進行的計量操作,更多詳細的球磨機磨礦可隨時關注豫暉動態http://www.t3130.com/news/進行了解。
(文章源于河南豫暉球磨機、回轉窯指定網站:http://www.t3130.com/,轉載注明出處)